IEB 2016 Paper 1 Algebra
Materials
IEB 2016 Maths Nov Paper 1 Algebra.pdf
IEB 2016 Maths Nov Paper 1 Algebra Memo.pdf
Video Answers
Question 1 (a) 1
(1.24)
Question 1 (a) 2
(3.12)
Question 1 (b)
(1.27)
Question 1 (c)
(3.30)
Question 1 (d)
(3.44)
Question 1 (e)
(1.01)
Question 2 (a)
(2.40)
Question 2 (b)
(1.46)
Question 3
(3.44)
Question 4
(3.32)
Question 5 (a)
(2.37)
Question 5 (b)
(2.18)
Question 5 (c)
(2.18)
Question 5 (d)
(2.53)
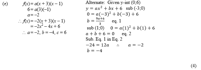
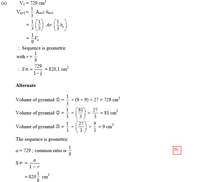
Question 5 (e)
(2.33)
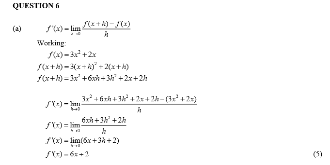
Question 6
(3.41)
Question 7
(1.47)
Question 8
(7.47)
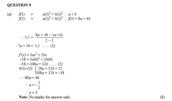
Question 9
(6.02)
Question 10
(6.02)
Question 11
(6.02)
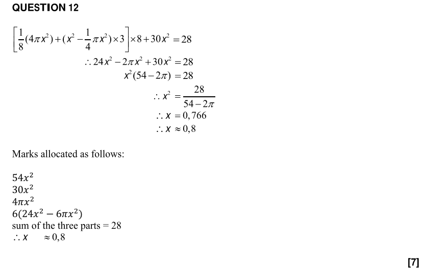
Question 12
(2.16)